常用的太阳光谱标准分为 AM0 与 AM1.5G 两种。AM0 标准适用于太空中的太阳光谱辐射,应用于人造卫星和航天器等大型设备。AM1.5G 标准适用于太阳光照射到大地的情况,应用于地面上的测试设备,标准测试条件中规定辐照总量为 1000W/m2,AM1.5G标准太阳光谱如图 1-1 所示。对于地面光伏行业而言,太阳电池和组件检测主要的应用场景是地面,要求稳态太阳模拟器采用 AM1.5G 标准光谱进行输出光谱的匹配。

技术咨询176-5252-0563
在 300~1200nm 波长范围内,按照波段内辐照度等比划分,AM1.5G 标准太阳光谱辐照度相对分布如表 1-1 所示。

稳态太阳模拟器的光谱匹配等级按表 1-2 划分为四类,其计算方法为:每个波长范围的实际输出光谱占比/每个波长范围的标准光谱占比。

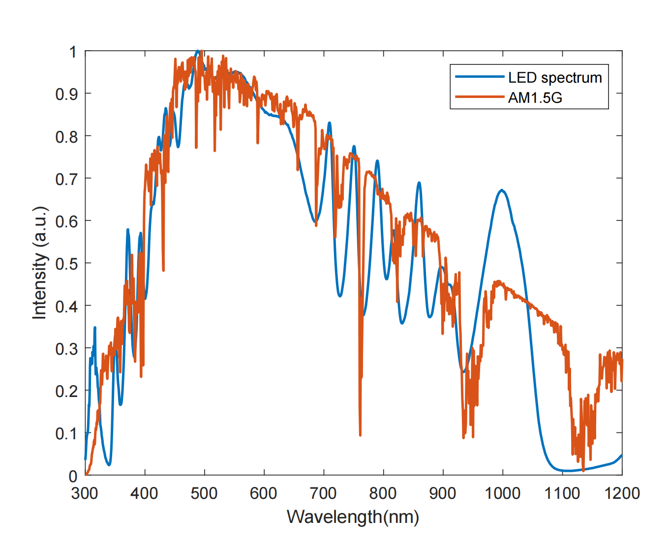
光谱匹配度是评价模拟光在光谱范围内与真实太阳光光谱的匹配程度的重要指标。根据IEC 60904-9标准,太阳光谱划分为6个光谱段,在这些光谱段中,用百分比表示匹配程度,根据数据偏离情况对模拟器匹配程度进行等级划分。以LSS-100A系列的LED太阳光模拟器为例,将6个光谱段对应波长的LED进行矩阵式排列,从下图中可以看出这款太阳模拟器实现了A+级的光谱匹配度。

LSS100A模拟器光谱与AM1.5G太阳光谱对比图
自主研发的LED太阳光模拟器是一款使用可达10000小时的供科研与工业电池制备所使用的理想太阳光模拟光源,它采用覆盖300nm~1800nm波长的 LED 作为光源,经过光谱拟合、混光、均化后形成符合 AAA 级要求的太阳光模拟器。

LED太阳光模拟器
LED太阳光模拟器能够适合于多种科研级电池尺寸,同时适用于含有一个公共电极多个对电极的电子器件。
13512983825
13512983825@126.com
关注我们

回到顶部